Opel-Marketing-Chefin Tina Müller gab kürzlich der Main-Spitze ein Interview. Dabei zeigte sie sich vom neuen Ampera-e begeistert. Der Elektomotor erlaube eine starke Beschleunigung. Gerade sei sie an der Ampel einem dicken Modell der Konkurrenz davongefahren. „Das hat Spaß gemacht.“ Die Reichweite des Ampera-e betrage sogar 520 km nach „Neuem Europäischem Fahrzyklus“ (NEFZ). Diese Angabe ist allerdings wenig realistisch.
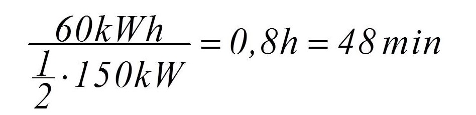
Der Akku hat nämlich eine Kapazität von 60 kWh. Der Motor leistet 150 kW. Nehmen wir für eine Abschätzung an, wir fahren mit halber Leistung. Dann langt der Strom gerade einmal für 48 Minuten.

Im Winter reicht er noch weniger weit, weil die Akku-Kapazität bei Kälte schrumpft. Der NEFZ scheint maßlos zu übertreiben, noch schlimmer als die unrealistischen Verbrauchsangaben der konventionellen Autos.
Andererseits zeigt eine Reichweite von knapp einer Stunde aber, dass Elektroautos immerhin auf dem Weg zur Alltagstauglichkeit sind. Die Zukunft des Autos liegt in der Elektromobilität.